Togni reagent II
托尼試劑II

CAS號:887144-94-7
Cat. No:KL-0887144-947
MDL:MFCD18800706
分子式:C8H4F3IO2
分子量:316.02
熔點:
存儲條件:0-10°C;存放于惰性氣體之中;避免濕氣 (分解),加熱
穩定性:光敏
安全信息
危險品標志:Xn
危險品別碼:36/37/38-48/20
安全說明:S26 - 不慎與眼睛接觸后,請立即用大量清水沖洗并征求醫生意見。S24/25 - 避免與皮膚和眼睛接觸。
Togni試劑II相關報告







Togni試劑II歷史
蘇黎世聯邦理工學院的Antonio Togni和他的同事于2006年首次描述了該化合物的合成、性質和反應性。[3] 文章還包含Togni試劑I(1,3-二氫-3,3-二甲基-1-(三氟甲基)-1,2-苯并咪唑)的信息。
Togni試劑II的制備
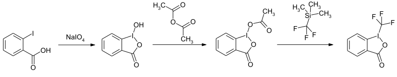
該合成包括三個步驟。在xxx步中,2-碘苯甲酸被高碘酸鈉氧化并環化為1-羥基-1,2-苯并碘酚-3(1H)-酮。然后通過與醋酸酐的酰化反應和隨后與三氟甲基三甲基硅烷的取代反應可以得到目標化合物。

另外,三氯異氰尿酸可以作為氧化劑,代替高碘酸鈉,用于較新的一鍋合成法。
Togni試劑II的特性
物理特性:
該化合物結晶為單斜晶體結構。空間群是P21/n,單元格中有四個分子。根據晶體學數據,推斷其密度為2.365g-cm-3。
化學性質:
純的托尼試劑II在室溫下是可轉移的。將其加熱到熔點以上將導致強烈的放熱分解,其中三氟碘甲烷(CF3I)被釋放出來。在149℃以上的溫度下,其成分熱已被確定為502J-g-1。在乙腈中重結晶時,觀察到少量的三氟甲基-2-碘苯甲酸酯和2-碘芐基氟化物作為分解產物。托格尼試劑II與強堿和強酸以及還原劑反應劇烈。在四氫呋喃中,該化合物會聚合。
Togni試劑II的用途
托格尼試劑II用于有機化合物的三氟甲基化。對于酚類化合物,xxx是在正向位置上進行取代。通過使用過量的托格尼試劑II,可以獲得第二次取代。與醇類反應產生相應的三氟甲基醚。在銅的催化下,烯類的三氟甲基化是可能的。

Togni試劑II是一種高效的親電三氟甲基化試劑。該試劑是一種無色結晶固體,可溶于極性有機溶劑。它提供了以碳和硫為中心的親核試劑的三氟甲基化,銅催化的未活化烯烴的三氟甲烷化,苯酚衍生物的三氟甲酯化,鋅介導的由醇形成三氟甲基醚[1],[2]。Togni試劑II具有可預測的位置選擇性和高水平的官能團相容性[3]。但是,盡管程序簡單,反應條件溫和,但該試劑具有爆炸性,這在使用時很重要[4],[5]。
Synonyms: 1-(Trifluoromethyl)-1,2-benziodoxol-3(1H)-one, 1-Trifluoromethyl-1,2-benziodoxol-3(1H)-one, 1-Trifluoromethyl-1,2-benziodoxol-3-(1H)-one
選定的出版物
- 銅催化的未活化烯烴的三氟甲基化。
Parsons A. T.; Buchwald S. L.Angewandte Chemie International Edition 2011, 50 (39), 9120–9123. DOI:10.1002/anie.201104053
- 通過高價碘(III)-CF3試劑對以碳和硫為中心的親核試劑進行溫和的親電三氟甲基化。
Kieltsch I.; Eisenberger P.; Togni A.Angewandte Chemie International Edition 2007, 46 (5), 754–757. DOI:10.1002/anie.200603497
- 用于親電三氟甲基化的新型10-I-3高價碘基化合物。
Eisenberger P.; Gischig S.; Togni A.Chemistry – A European Journal 2006, 12 (9), 2579–2586. DOI:10.1002/chem.200501052
- 關于托格尼試劑Ⅱ及其前體之一爆炸性能的通知。
Fiederling N.; Haller J.; Schramm H.Org Process Res Dev 2013, 17 (3), 318–319. DOI:10.1021/op400035b
2,2,2-Trifluoroethyl Formate.
13.Smith C. R.Encyclopedia of Reagents for Organic Synthesis?2010. DOI:10.1002/047084289X.rn01159